High Carbon Martensitic Steel Powders

The overspray high carbon steel powders are unique in the way that they are a byproduct from spraying of steel ingots, i.e., they are rapidly solidified and cooled. Hence, the microstructure is not necessarily conventional, which emphasizes the importance of in-situ tracking of their thermal behavior. XRD analysis of the as-delivered powders are given in Figure 1. The materials 440C and D2 are fully austenitic which can be attributed to fast cooling (inherent to the process) combined with a high interstitial content. T15 is also predominantly austenitic with a minute fraction of ferrite/martensite; minor peaks of W2C type carbides can also be observed. H13 is predominantly ferritic/martensitic with a minor fraction of (retained) austenite.
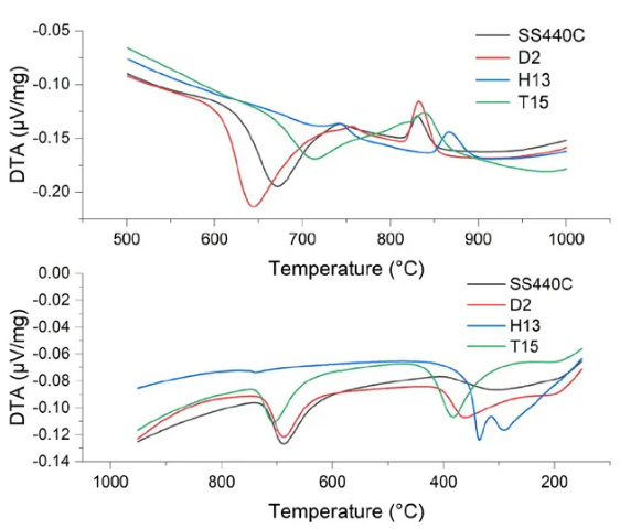
DTA during isochronal heating can record phase transformations or reactions associated with release or uptake of heat (calorimetry). Upon heating, the powders 440C, D2, and T15 undergo an exothermic reaction in the temperature range of 620-750°C, which can be attributed to (partial) decomposition of austenite, presumably via eutectoid decomposition, i.e., alloy pearlite. This transformation is most pronounced for 440C and least pronounced for T15, which correlates with the amount of retained austenite in the initial condition. A second peak, occurring between 800-900°C for all materials, is attributed to the formation of austenite (Ac1). Examination of the DTA signal (Figure 2) indicates that the austenitization start temperature for SS440C is approximately 820°C, with complete transformation at 850°C. For D2, austenitization begins around 820°C and completes at approximately 860°C. In the case of H13, austenitization starts at around 850°C and concludes at about 900°C. For T15, austenitization commences at around 810°C and is complete at approximately 875°C.
The calorimetry signals from cooling at a rate of 10 K/min are given in (Figure 2). The exothermic peak for the carbon rich SS440C, D2 and T15 indicates the eutectoid transformation of austenite into alloy pearlite occurring during cooling around 750–650°C, analogous to the transformation taking place during heating. The second peak in the DTA signal (for all alloys) during cooling indicates formation of bainite at around 375°C followed by martensite formation. This behavior is consistent with CCT diagrams of the conventional wrought materials (not shown herein). HTSN of AISI 420 To assess the role of nitrogen in martensitic stainless steels, high temperature solution nitriding can be used, which will result in a graded structure provided the sample is not through-nitrided. Herein, the widely used AISI 420 is selected to illustrate the impact of nitrogen on the microstructure. Please note that the solution nitriding temperature of 1,100°C coincides with the conventional temperature for austenitization of this material. The applied cooling rate from the nitriding temperature is relatively slow, but here it is merely to demonstrate the effect of nitrogen rather than to present an optimized process. Figure 3 depicts the results obtained for in-situ gaseous nitriding through TG analysis. This graph represents the temperature and mass uptake of nitrogen in the sample. As can be observed in the figure, the total sample uptake prior to cooling comes to approximately 0.09 wt% nitrogen. The flux of nitrogen follows directly from the in-situ recorded uptake of nitrogen during nitriding, when considering the specimen’s surface area. The overall nitriding kinetics seems to follow a parabolic growth law indicating diffusion-controlled growth rather than growth governed by surface kinetics. It should be noted that the weight percentage of nitrogen is measured in the entire sample, with a diffusion gradient of interstitial nitrogen moving from high concentration at the edge to a lower concentration at the center according to Fick’s second law of diffusion (Ref. 20). Hence, the surface region of the sample has a significantly higher nitrogen concentration than the overall 0.09 wt%, whereas the core has essentially no nitrogen.
1.The news above mentioned with detailed source are from internet.We are trying our best to assure they are accurate ,timely and safe so as to let bearing users and sellers read more related info.However, it doesn't mean we agree with any point of view referred in above contents and we are not responsible for the authenticity. If you want to publish the news,please note the source and you will be legally responsible for the news published.
2.All news edited and translated by us are specially noted the source"CBCC".
3.For investors,please be cautious for all news.We don't bear any damage brought by late and inaccurate news.
4.If the news we published involves copyright of yours,just let us know.
BRIEF INTRODUCTION
Cnbearing is the No.1 bearing inquiry system and information service in China, dedicated to helping all bearing users and sellers throughout the world.
Cnbearing is supported by China National Bearing Industry Association, whose operation online is charged by China Bearing Unisun Tech. Co., Ltd.
China Bearing Unisun Tech. Co., Ltd owns all the rights. Since 2000, over 3,000 companies have been registered and enjoyed the company' s complete skillful service, which ranking many aspects in bearing industry at home and abroad with the most authority practical devices in China.





